Kiraan Kaki Ke Meter

Mykos Rumah Posts Facebook

Mykos Rumah Posts Facebook

Unit Ukuran

Unit Ukuran

Unit Ukuran

Unit Ukuran

Pin On Gambar Rumah

Pin On Gambar Rumah

Unit Ukuran

Unit Ukuran

Unit Ukuran

Unit Ukuran

Unit Ukuran

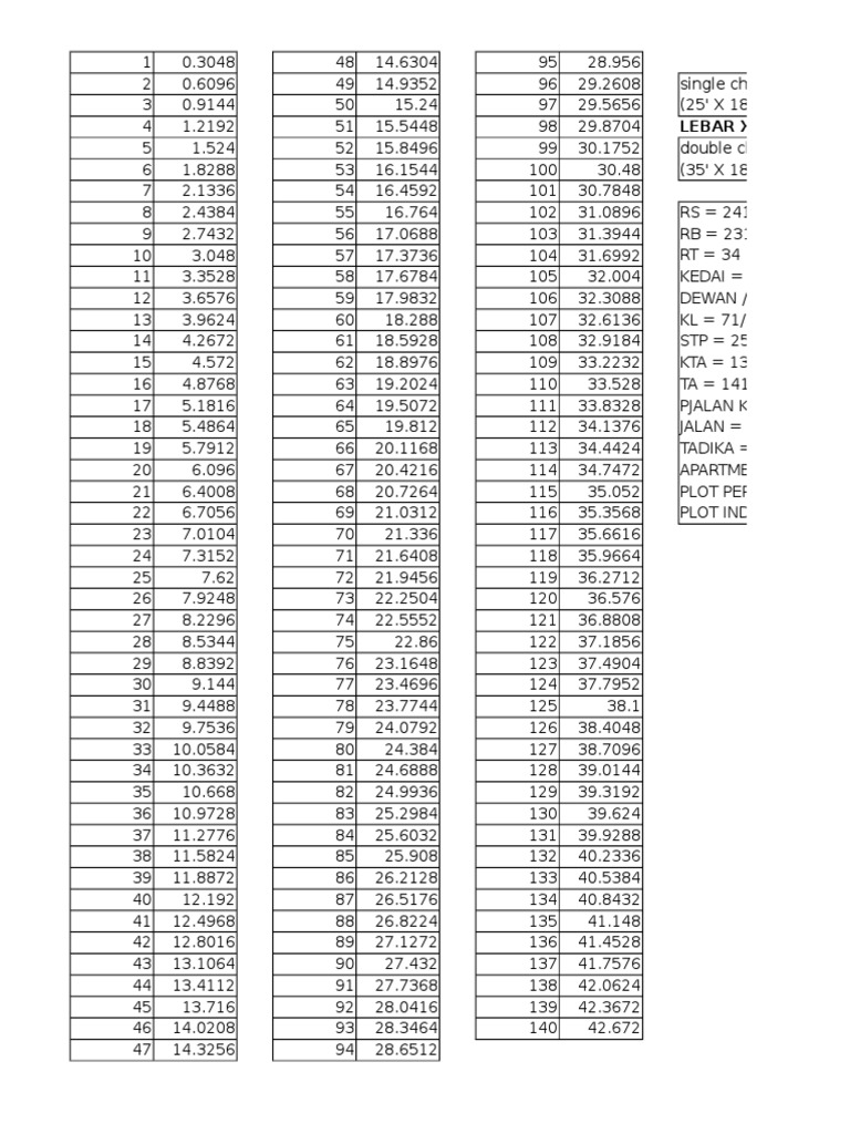
Satu kaki persegi adalah bersamaan dengan 0 09290304 meter persegi.

Kiraan kaki ke meter. Kaki atau feet konon adalah satuan panjang yg berasal dari sumeria kuno. Mudah tukar sentimeter cm dan pada apa apa ukuran lain dengan menggunakan alat dalam talian ini. 1 jempa 8 kaki. Alat ini sangat mudah diguna.

Meter persegi lebih luas daripada kaki persegi sehingga angka yang diperoleh akan lebih kecil untuk menyatakan luas yang sama. 1 orlong 20 jumba. 1 jumba 12 kaki. Kaki persegi adalah satu unit kawasan yang digunakan dalam sistem ukuran imperial dan kebiasaan di a s.

Ukuran persegi adalah terbitan dua dimensi daripada ukuran linear jadi kaki persegi ditakrifkan sebagai keluasan daripada kaki persegi dengan dua belah 1ft panjang. Ukuran unit untuk jarak tanah. Satuan panjang non si ini umum digunakan di inggris dan amerika serikat. 3 kaki feet sama dengan 1 yard.

Bagaimanakah penukar dari meter m berfungsi. 1 kaki persegi inci persegi 144 0 09290303999 meter persegi 1 ela persegi 9 kaki persegi 0 83612736 meter persegi 1 acre 4 840 meter persegi 4046 8564224 meter persegi 1 batu persegi 640 ekar 2 589988110336 kilometer persegi. 1 kaki feet juga sama dengan 12 inci. Kaki kepada meter unit swap format kaki inci perpuluhan pecahan ketepatan pilih resolusi 1 nilai yang disignifikan 2 nilai yang disignifikan 3 nilai yang disignifikan 4 nilai yang disignifikan 5 nilai yang disignifikan 6 nilai yang disignifikan 7 nilai yang disignifikan 8 nilai yang disignifikan.

1 jemba 24 kaki. Karena 1 kaki persegi 0 093 meter persegi kalikan hasil yang anda peroleh dengan 0 093 untuk mendapatkan hasilnya dalam satuan meter persegi. Dari segi metrik kaki persegi adalah persegi dengan tepi 0 3048 meter panjang. 1 depa 4 hasta 2 ela 1 8288 meter.

Anda hanya perlu menulis kuantiti yang ingin anda tukar dinyatakan dalam meter untuk menukar kepada ukuran lain. Kaki kepada meter ft kepada m kalkulator penukar untuk panjang penukar dengan jadual and formula tambahan. Untuk mendapatkan hasil yang lebih akurat kalikan dengan 0 092903.

Unit Ukuran

Unit Ukuran

1 Kaki Berapa Meter Ukuran Kaki Feet Ke Meter M

1 Kaki Berapa Meter Ukuran Kaki Feet Ke Meter M

Mykos Rumah Posts Facebook

Mykos Rumah Posts Facebook

Unit Ukuran

Unit Ukuran

Bagaimana Untuk Menukar Kaki Ke Meter Popular 2020

Bagaimana Untuk Menukar Kaki Ke Meter Popular 2020

Unit Ukuran

Unit Ukuran

Tahun 6 Panjang Cm Mm Asas Pengiraan Youtube

Tahun 6 Panjang Cm Mm Asas Pengiraan Youtube

Unit Ukuran Simbol Yang Mesti Kita Kontraktor Malaysia Facebook

Unit Ukuran Simbol Yang Mesti Kita Kontraktor Malaysia Facebook

Tujoh Bintang Cara Mengukur Kayu Balak

Tujoh Bintang Cara Mengukur Kayu Balak

Unit Ukuran

Unit Ukuran

Tukar Kaki Dan Inci Ke Meter Tips 2020

Tukar Kaki Dan Inci Ke Meter Tips 2020

Pin By Kim Kee On C S

Pin By Kim Kee On C S

Cara Menukar Kaki Ke Meter 6 Langkah Dengan Gambar Tips 2020

Cara Menukar Kaki Ke Meter 6 Langkah Dengan Gambar Tips 2020

Mengira Keluasan Kaki Persegi Rumah Ukur Tanah Pahang Facebook

Mengira Keluasan Kaki Persegi Rumah Ukur Tanah Pahang Facebook

Unit Ukuran

Unit Ukuran

Keluasan Bilik Untuk Sesebuah Rumah Kediaman Dz Creation

Keluasan Bilik Untuk Sesebuah Rumah Kediaman Dz Creation

Petua 1 Bagaimana Untuk Menukar Dari Meter Padu Hingga Tan Sains Semulajadi 2020

Petua 1 Bagaimana Untuk Menukar Dari Meter Padu Hingga Tan Sains Semulajadi 2020

Konversi Dari Inch Ke Meter Youtube

Konversi Dari Inch Ke Meter Youtube

Search Q 1 Kaki Bersamaan Berapa Cm Tbm Isch

Search Q 1 Kaki Bersamaan Berapa Cm Tbm Isch

Ukuran

Ukuran

Sukatan Meter Ke Kaki

Sukatan Meter Ke Kaki

Area Calculator Apl Di Google Play

Area Calculator Apl Di Google Play

Mengira Keluasan Kaki Persegi Rumah Ukur Tanah Pahang Facebook

Mengira Keluasan Kaki Persegi Rumah Ukur Tanah Pahang Facebook

Cara Baca Pita Mengukur Pameran Wintape Mengukur Syarikat Pita

Cara Baca Pita Mengukur Pameran Wintape Mengukur Syarikat Pita

Cara Menukar Kaki Ke Meter 6 Langkah Dengan Gambar Tips 2020

Cara Menukar Kaki Ke Meter 6 Langkah Dengan Gambar Tips 2020

Bagaimana Untuk Menukar Kaki Ke Inci Atau Meter Di Excel 2016 Tutorial

Bagaimana Untuk Menukar Kaki Ke Inci Atau Meter Di Excel 2016 Tutorial

Ukuran 1 Kaki Itu Berapa Meter Belajar Sampai Mati

Ukuran 1 Kaki Itu Berapa Meter Belajar Sampai Mati

Mari Belajar Matematik Menukar Unit Ukuran

Mari Belajar Matematik Menukar Unit Ukuran

1 Inch Berapa Cm Cara Menghitung Inch Ke Cm Dan Contoh Soal

1 Inch Berapa Cm Cara Menghitung Inch Ke Cm Dan Contoh Soal

Moon Punyer Blog Bagaimana Nak Ukur Tingkap

Moon Punyer Blog Bagaimana Nak Ukur Tingkap

Tukar Kaki Dan Inci Ke Meter Tips 2020

Tukar Kaki Dan Inci Ke Meter Tips 2020

Https Encrypted Tbn0 Gstatic Com Images Q Tbn 3aand9gcq7lqulutkui0rwwl2f8qwfxdcsme4xle7igg Usqp Cau

Https Encrypted Tbn0 Gstatic Com Images Q Tbn 3aand9gcq7lqulutkui0rwwl2f8qwfxdcsme4xle7igg Usqp Cau

Cara Menukar Kaki Ke Meter 6 Langkah Dengan Gambar Tips 2020

Cara Menukar Kaki Ke Meter 6 Langkah Dengan Gambar Tips 2020

Mykos Rumah Posts Facebook

Mykos Rumah Posts Facebook

Source : pinterest.com