Latihan Pembukaan Kota Mekah Tahun 6

Ar rahman dan ar rahim tahun 1 duration.
Latihan pembukaan kota mekah tahun 6. Melalui penggunaan ict para guru boleh memaksimumkan penambahan perkongsian pembelajaran secara online sama ada pembelajaran secara jarak jauh atau pembelajaran kendiri tanpa mengambil kira lokasi. 20 000 orang. Semoga perkongsian ini memberi manfaat dan dapat. Pelajar dan guru dapat memanfaatkan penggunaan ict bagi memberikan impak kualiti yang baik dalam pembelajaran pada masa kini.
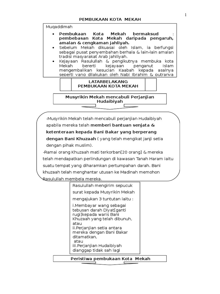
Pembukaan kota mekah tahun 6. Play this game to review religious studies. Pembukaan kota makkah merupakan antara peristiwa besar dalam sejarah islam yang berlaku pada ramadan tahun ke 8 hijrah. Pembukaan kota mekah tahun 6 draft.
Menawan kota mekah melalui 4 penjuru meningkatkan ekonomi islam jalinkan hubungan luar negara ertanggungjawab dalam berdakwah dan membentuk masyarakat islam tags. Sirahtahun6 pembukaankotamekah 5 2 merumus dan mengaplikasikan iktibar daripada peristiwa pembukaan kota mekah. Adab tahun 6. Koleksi soalan dan latihan pendidikan islam tahun 6 upsr jawapan.
وساٸل النقل bahasa arab tahun 6 pengangkutan. Video pdpc sirah tahun 6. Just tell him you re the president season 7 episode 1 duration. Tahun 6 pembukaan kota mekah draft.
Kaum musyrikin mekah telah mengkhianati. Razman razali 2 872 views. Sayangilah haiwan duration. Pembukaan kota makkah dilihat sebagai kejayaan penting dalam peribadatan dan perkembangan syiar islam kerana di sini terletak kiblat orang islam kaabah.
Perkembangan islam selepas pembukaan kota mekah pendidikan islam tahun 6 ll info grafik duration. Comedians in cars getting coffee. Kota ialah tempat lahir nabi muhammad saw. Hudhud tv 24 448 views.